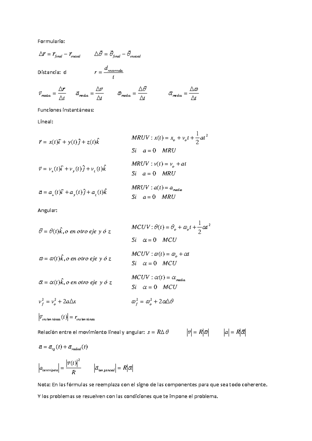
Formulas De Fisica Cinematica

A cinemática, ramo da física que descreve o movimento dos corpos sem considerar as causas desse movimento, fundamenta-se em um conjunto de relações matemáticas conhecidas como formulas de fisica cinematica. Essas fórmulas, que relacionam grandezas como deslocamento, velocidade, aceleração e tempo, constituem a base para a análise e previsão de trajetórias, velocidades e posições de objetos em movimento. Sua importância transcende o âmbito acadêmico, encontrando aplicações práticas em áreas tão diversas quanto a engenharia, a balística e a animação gráfica. A compreensão precisa e a aplicação correta dessas fórmulas são cruciais para a resolução de problemas e o desenvolvimento de tecnologias em inúmeros campos do conhecimento.

Formulas De Fisica Cinematica

Física Mecânica-Cinemática-Fórmulas - ALEXANDER EDUARDO PEREIRA DOS...

As Equações Fundamentais do Movimento Uniformemente Variado (MUV)

O Movimento Uniformemente Variado (MUV), caracterizado por uma aceleração constante, é descrito por um conjunto de equações fundamentais. Estas incluem a equação horária da posição (s = s₀ + v₀t + ½at²), a equação horária da velocidade (v = v₀ + at) e a equação de Torricelli (v² = v₀² + 2aΔs). Cada equação relaciona diferentes grandezas cinemáticas, permitindo o cálculo de uma delas em função das outras. Por exemplo, a equação de Torricelli é particularmente útil quando o tempo não é conhecido ou relevante para a solução do problema. A correta identificação das variáveis conhecidas e desconhecidas é essencial para a escolha da equação apropriada.

O Movimento Retilíneo Uniforme (MRU) como Caso Particular

O Movimento Retilíneo Uniforme (MRU) representa um caso especial do MUV, onde a aceleração é nula. Neste cenário, a velocidade permanece constante ao longo do tempo, e a equação fundamental que o descreve é s = s₀ + vt. A análise do MRU simplifica-se consideravelmente, permitindo uma compreensão mais direta da relação entre deslocamento, velocidade e tempo. Embora mais simples, o MRU continua sendo crucial na modelagem de diversos fenômenos físicos, como o movimento de um objeto em um plano horizontal com atrito desprezível ou a propagação da luz no vácuo.

A Análise Vetorial do Movimento

Em situações onde o movimento ocorre em duas ou três dimensões, a análise vetorial torna-se indispensável. As grandezas cinemáticas, como deslocamento, velocidade e aceleração, são representadas por vetores, possuindo tanto magnitude quanto direção. As formulas de fisica cinematica podem ser aplicadas separadamente a cada componente vetorial, permitindo a decomposição do problema em movimentos independentes ao longo de diferentes eixos. Essa abordagem é fundamental para a análise do lançamento oblíquo, do movimento circular e de outras situações complexas envolvendo trajetórias curvas.

For more information, click the button below.

Formulas De Fisica Cinematica
Formulas-de-Cinematica - Formulario Básico de Física Cinematica ...
Formulas De Fisica Cinematica
Formulas cinemática - clgolf
Formulas De Fisica Cinematica
Fisica formulas de fisica
Formulas De Fisica Cinematica
Formulario: Cinemática - Conceptos y Fórmulas Esenciales - Studocu

-

A Influência da Resistência do Ar

Na modelagem de situações reais, é crucial considerar a influência da resistência do ar, uma força que se opõe ao movimento de um corpo através da atmosfera. A resistência do ar depende da velocidade do corpo, de sua forma e da densidade do ar. A inclusão dessa força nas formulas de fisica cinematica torna a análise mais complexa, exigindo, em muitos casos, o uso de métodos numéricos ou aproximações para a obtenção de soluções. Ignorar a resistência do ar pode levar a resultados significativamente diferentes da realidade, especialmente em situações envolvendo altas velocidades ou objetos com grande área de superfície.

A velocidade média é definida como o deslocamento total dividido pelo intervalo de tempo total. Ela representa a velocidade "média" ao longo de um percurso. A velocidade instantânea, por outro lado, é a velocidade em um instante específico de tempo. Matematicamente, é o limite da velocidade média quando o intervalo de tempo tende a zero, o que equivale à derivada da posição em relação ao tempo.

A aceleração é a taxa de variação da velocidade. Uma aceleração constante na mesma direção da velocidade causa um aumento linear na velocidade (MUV). Uma aceleração constante perpendicular à velocidade causa uma mudança na direção do movimento, resultando em uma trajetória curva, como no movimento circular uniforme. Uma aceleração variável pode levar a trajetórias complexas.

A equação de Torricelli (v² = v₀² + 2aΔs) é particularmente vantajosa quando o tempo não é conhecido ou não é uma variável relevante para a solução do problema. Ela permite relacionar a velocidade final, a velocidade inicial, a aceleração e o deslocamento, sem envolver diretamente o tempo.

A cinemática escalar lida com grandezas que são completamente descritas por um único valor (magnitude) e uma unidade. Já a cinemática vetorial lida com grandezas que possuem tanto magnitude quanto direção, como deslocamento, velocidade e aceleração. A cinemática vetorial utiliza vetores para representar essas grandezas e requer operações vetoriais para a análise do movimento em duas ou três dimensões.

A cinemática é fundamental para o funcionamento de sistemas de navegação GPS. Os satélites GPS emitem sinais que permitem determinar a posição de um receptor na Terra. Através da análise do tempo de viagem dos sinais e do conhecimento da posição dos satélites, é possível calcular a posição, a velocidade e a aceleração do receptor, utilizando princípios e formulas de fisica cinematica.

A descrição do movimento em cinemática é sempre relativa a um referencial. A posição, a velocidade e a aceleração de um objeto dependem do referencial escolhido. A escolha de um referencial inercial (um referencial que não está acelerado) simplifica a análise do movimento, pois permite a aplicação direta das leis de Newton.

Em suma, o estudo das formulas de fisica cinematica fornece um arcabouço essencial para a compreensão e modelagem do movimento de objetos. Sua aplicação se estende por diversas áreas da ciência e da engenharia, desde a análise de trajetórias de projéteis até o desenvolvimento de sistemas de navegação avançados. O aprofundamento no estudo da cinemática, incluindo a consideração de efeitos como a resistência do ar e a utilização de referenciais não inerciais, representa um caminho promissor para a resolução de problemas mais complexos e o desenvolvimento de novas tecnologias.